Explore IB Math Analysis & Approaches and Applications & Interpretation, including calculus, statistics, functions, and exam …

7 High-Scoring IB Math IA Topics Explained - Real Examples That Lead to a 7
Choosing the right IB Math IA topic can determine whether you achieve a 6 or a 7. In this guide, we explore seven high-scoring IB Mathematics IA themes that allow for mathematical depth, analytical expansion, and meaningful personal engagement. Learn how to avoid common topic selection mistakes and understand what examiners look for in a strong Internal Assessment. If you want a strategic advantage in IB Math IA, your success begins with the right foundation — a topic that enables structured reasoning, clear development, and intellectual ownership.
1. Geometric Transformations Using Matrices and Vectors
The first topic we will examine is geometric transformations of vectors through matrix multiplication. For example, in three-dimensional space, if we rotate a rocket’s velocity vector with respect to the x, y, and z axes, how can we determine the new direction of the velocity? In aeronautics, changes in orientation are described using the terms yaw, pitch, and roll. By multiplying a vector by a 3×3 matrix, we can represent rotations of vectors in three-dimensional space.
Furthermore, geometric transformations are also useful in image processing. The Einstein image shown below consists of countless pixels with (x, y) coordinates. If we want to apply transformations such as rotation, shear, or compression to the image, we simply apply the same transformation process to every pixel’s (x, y) coordinate.

There are countless Mathematics IA topics that can emerge from applications of vectors and matrices. In particular, this topic is well suited for students who are taking IB Physics or who are interested in majoring in aeronautical engineering, electrical engineering, or computer engineering, as it allows them to develop a personalized narrative to earn personal engagement marks.
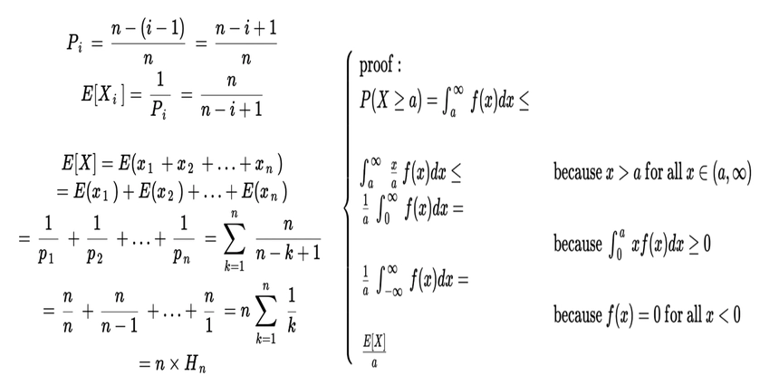
2. Coupon Collector’s Problem
For the second topic, let’s consider something more lighthearted from everyday life. Recently, there was a craze for Pokémon bread. The highlight of Pokémon bread is the Pokémon sticker that comes with it. A certain IB student, who had been 고민ing their Mathematics IA for days, asked this question:

“If one of n stickers is randomly included each time I buy a bread, and I want to collect all n stickers, how many breads do I need to buy?”
— An anonymous IB student who loves bread
At the beginning, it is easy to collect new stickers. However, as time goes on, it becomes increasingly difficult to obtain new ones that you have not yet collected, meaning you must buy more and more bread. By applying statistical concepts slightly beyond the IB syllabus, the total number of breads required can be derived and will converge.

A high-scoring IA does not stop there but throws in additional curveball questions:
- If instead of relying on randomness, I purchase missing stickers through online auctions, what price would be reasonable?
- If all stickers do not have equal probability of appearing, how would the approach to solving the problem change?

3. Knapsack Problem
The third topic relates to optimization — the knapsack problem. Given a maximum weight capacity for a knapsack, how can we choose from items with different weights and values to maximize total value?
At first glance, one might think we should simply select items with the highest value-to-weight ratio. However, in reality, this approach does not always work, which is why various algorithms are studied in academia.
The problem can be modeled and solved using integer programming.

With themes involving maximizing output under constraints of mass, volume, time, or budget, many IA topics can be developed. For example:
- Which players should be selected to form the best baseball team under a limited budget, considering salary and performance?
- Which stocks should be included in an investment portfolio, balancing risk indices and expected returns?

This topic is suitable for students interested in business, economics, mathematics, or computer science, and for anyone fascinated by efficiency and optimization.
4. Queueing Theory
This is a topic frequently studied in industrial engineering, my major. Queues occur in many forms in everyday life.

Whether it is components moving along a factory production line or customers waiting in banks, supermarkets, or amusement parks, queueing theory can be used for analysis. Little’s Law, introduced by MIT professor John Little, is still widely used in management engineering today.

Possible IA applications include:
- How many service counters should a bank operate to minimize waiting time?
- Is it better to have separate queues at each restroom stall or one single line outside?
- What is the most efficient division-of-labor system for making sandwiches?
This topic is recommended for students who are observant and interested in analyzing and improving systems.
5. Optimization
If we want to design a can that holds a fixed volume of beverage while using the minimum amount of aluminum material, how should we proceed?
Students taking Mathematics HL are likely familiar with optimization problems in calculus. IB exams tend to favor single-variable optimization problems due to time constraints.

However, in an IA, where sufficient time is available, students can attempt multivariable optimization. Creative students may identify optimization scenarios in daily life or academic papers and solve them using methods such as Lagrange multipliers.

6. Shortest Route Finding (feat. Inventory Management)
How can we determine the fastest route from point A to point B? Many mathematicians have pondered this question. It connects well with graph theory in the revised IB syllabus.

Shortest route problems can be applied to any situation where the goal is to reach the optimal solution at minimum cost. In supply chain management, this concept appears frequently.
Inventory management scenarios may include:
If we can predict demand for the next 10 months, Is it more economical to operate the factory at the beginning of each month? Or is it better to produce a fixed quantity whenever inventory runs out?

Analyzing real company or public institution cases makes this an excellent exploration topic for developing quantitative problem-solving skills.
7. Envelope Theorem
Students who love both art and mathematics — pay attention!
Many mathematicians experience aesthetic joy from mathematics itself. How fascinating would it be to perfectly describe beautiful curves using equations? Is it possible to express curves using only straight lines?
Using the concept of envelopes, it is possible.

An envelope is a curve that is tangent to every curve in a family of curves, and it can be derived using differential equations.

This topic is strongly recommended for students who wish to grow as mathematically sensitive artists or who want to immerse themselves in the beauty of mathematics.
Conclusion
A high-scoring IA is not defined by complexity alone. It is defined by depth, clarity, expansion, and engagement.
The best topics allow you to demonstrate mathematical sophistication while connecting to your interests. Ultimately, the IA is not merely an assignment — it is an opportunity to showcase your mathematical thinking.